contoh soalan geografi tingkatan 2
Soalan Peperiksaan Geografi Tingkatan 2 2019 Rimbba
Soalan Peperiksaan Pertengahan Tahun Geografi Tingkatan 2
Latihan Geografi Tingkatan 2 Bab 2 Peta Topografi Worksheet
Soalan Geografi Tingkatan 2 Bab 5 Kuora R Otosection
Skema Jawapan Geografi Tingkatan 2 Pdf
54265498 Ujian Mac Geografi Tingkatan 2
Praktis Geo Bab 3 Tingkatan 2 Worksheet
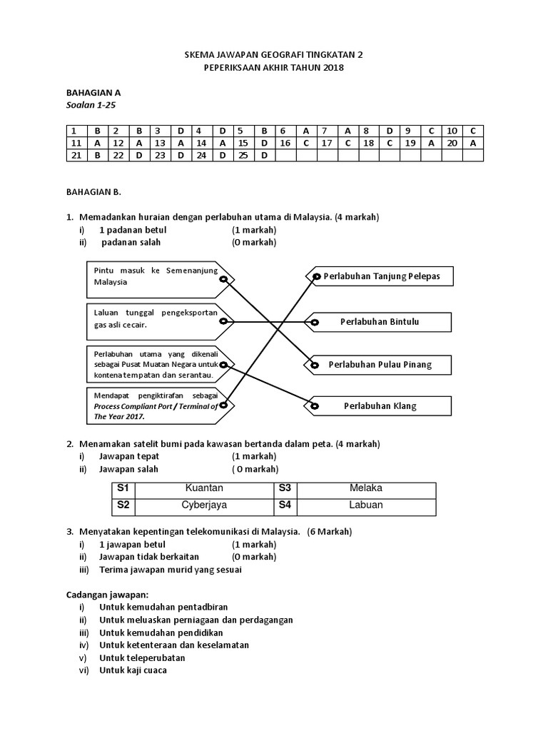
Soalan Peperiksaan Akhir Tahun Geografi Tingkatan 2 Bersama Jawapan Pdf
Soalan Kuiz Geografi Tingkatan 2 Kuora O Otosection
Soalan Peperiksaan Pertengahan Tahun Geografi Tingkatan 2
Soalan Peperiksaan Akhir Tahun Geografi Tingkatan 1
54265498 Ujian Mac Geografi Tingkatan 2
Soalan Peperiksaan Pertengahan Tahun Geografi Tingkatan 1 Ahmad Marogi
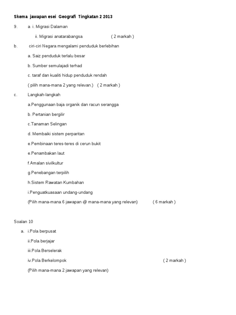
Skema Jawapan Esei Geografi Tingkatan 2 2013 Pdf
54265498 Ujian Mac Geografi Tingkatan 2
Latihan Geografi Tingkatan 2 Bab2 Peta Topografi Worksheet
Soalan Geografi Tingkatan 2 Ujian Kemajuan 1 2018 Pdf

